Hasta ahora hemos aproximado el Universo como isotrópico y homogéneo a escalas mayores a ~100 Mpc tal como queda refrendado en este mapa del cielo o en esta figura:
Sin embargo, a escalas menores se observan estructuras no aleatorias tipo "esponja" en forma de cúmulos de galaxias, supercúmulos, "voids" y filamentos. Cómo se formaron estas estructuras? El mecanismo básico se denomina "inestabilidad gravitacional" a partir de leves heterogeneidades de densidad que se manifiestan como fluctuaciones de temperatura en el CMB. Las zonas más densas tenderán a expandirse más lento que el resto del Universo y, si su densidad es suficientemente alta, lograrán colapsar y dar lugar a cúmulos de galaxias, atrayendo más materia de su entorno menos denso: "los ricos se hacen más ricos y los pobres más pobres".
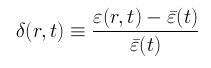
Para describir las inestabilidades gravitaciones es conveniente definir el parámetro adimensional de fluctuación de densidad:
Queremos saber como evoluciona una fluctuación de densidad debido a la gravedad. Consideremos un universo estático, homogéneo con una densidad de materia ρ. La fuerza gravitacional debido al exceso de masa es:
o bien:
Un exceso de masa en relacion al entorno hará que la esfera colapse. La conservación de masa requiere:
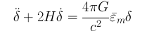
Combinando ambas ecuaciones y asumiendo δ <<1, obtenemos cómo evoluciona δ a medida que la esfera colapsa:
cuya solución es:
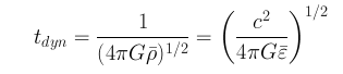
en que hemos definido un "tiempo dinámico" de colapso:
La gravedad hace que las pequeñas sobredensidades crezcan exponencialmente.
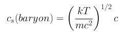
Hasta ahora no hemos considerado el efecto de la presión de la materia que se opone al colapso. La materia corriente tiene una ecuación de estado P=ωρ, en que:
A medida que la esfera colapsa se genera una diferencia de presión que se desplaza a la velocidad del sonido:
El tiempo que requiere para que la diferencia de presión se establezca es:
La condición para que el gradiente de presión impida el colapso es:
Es decir, la esfera de sobredensidad debe ser menor a R=λJ, denominada longitud de Jeans :
Si consideramos la epoca temprana dominada por la radiación cs=c/√3, todas las fluctuaciones de densidad menores a λJ estaban sostenidas por la presión, se resistían al colapso y se comportaban como ondas acústicas. Previo al desacoplamiento (z~1100) los bariones, electrones y fotones estaban bien acoplados por medio del scattering y formaban un solo fluido. Dado que a z=1100 εγ~1.4 εbar, aún podemos considerar que los bariones son poco significativos como fuente de presión y el largo de Jeans se puede aproximar como el de un gas de fotones, con λJ=2x1022 cm.
La masa de Jeans se define como la masa de bariones contenida en una esfera de radio λJ
Inmediatamente antes del desacoplamiento, MJ=7x1018 Msol (30.000 mayor que la masa del cúmulo de Coma), mayor que los más grandes supercúmulos conocidos.
Si consideramos ahora la época justo después del desacoplamiento, los fotones y bariones constituyen dos fluidos independientes, en cuyo caso la velocidad del sonido cambia de cs=c/√3, a
Evaluando la velocidad del sonido a la temperatura T=3000 K, obtenemos MJ=1x105 Msol, del orden de las galaxias más pequeñas. La abrupta caída de la masa de Jeans debido al desacoplamiento es lo que permite que la gravedad comience a amplificar las fluctuaciones de densidad para formar las grandes estructuras (galaxias y cúmulos), todas hijas de las fluctuaciones cuánticas en la época de la inflación.
En un universo en expansión, hay que considerar que si el tiempo característico de la expansión texp~(1/H) es comparable al tiempo dinámico tdyn, la expansión del espacio competirá con el colapso. Haciendo nuevamente un análisis newtoniano (ecuación de aceleración gravitacional y conservación de masa) obtenemos la ecuación que describe la evolución de las sobredensidades:
Comparando con el caso estático aparece un término extra de "fricción", proporcional a H, que se encarga de amortiguar el crecimiento de las perturbaciones.
Durante la época de radiación las sobredensidades crecen logaritmicamente. Cuando la densidad comienza a estar dominada por la materia (z=3600), las sobredensidades de materia oscura crecen como δ∝t2/3∝a(t)∝1/1+z. Si no fuera por la presencia de la materia no bariónica, las sobredensidades solo habrían podido comenzar a desarrollarse a z=1100 y el Universo tendría mucho menos estructuras. La presencia de materia oscura permite que las fluctuaciones comiencen a crecer mucho antes a z=3600. Una vez que se produce el desacoplamiento, los bariones comienzan a caer a los pozos de potencial de materia oscura.
Los estudios de formación de estructuras se realizan numéricamente, en que la materia se modela como puntos con masa librados a la interacción gravitacional. Una vez que una región de sobredensidad alcanza su equilibrio virial y deja de contraerse, se pueden comenzar a formar las estrellas.
El proyecto Millennium del Instituto Max Planck utilizó más de 10 mil millones de partículas para simular la distribución de materia en una caja de 700 Mpc de tamaño, en un cálculo que tomó un mes completo en el supercomputador en Garching. Se produjeron más de 25 TBytes de datos y más de 20 millones de galaxias. Comparando los datos simulados con los mapas observados a partir de "redhifts surveys" se pueden entender los complicados procesos físicos involucrados en la formación de estructuras.
Esta imagen corresponde a un campo de 500 Mpc y a una resolucion de 10 kpc:
Las estructuras observadas constituyen otras de las evidencias en favor del modelo del Big Bang caliente.