La solución para a(t) se complica debido que el Universo contiene diferentes componentes de energía. Al menos hay dos componentes obvias: materia no relativista y radiación. En los ultimos años ha aparecido evidencia observacional de que hay otras formas de energía más exóticas como la constante cosmologica. Afortunadamente la solución a las ecuaciones anteriores se simplifica gracias a que tanto la densidad de energía como la presión de las distintas componentes son cantidades aditivas, i.e,
La ecuación de fluido se debe satisfacer para cada componente individual:
Asumiendo que ωi es independiente del tiempo:
Veamos algunos ejemplos de componentes:
La densidad de radiación decae más rapido que la densidad de la materia!
Esta componente no juega un papel importante en la expansión actual, pero sí jugó un papel importante en las etapas tempranas del Universo.
y esta componente se puede ignorar ahora y siempre.
Las mediciones actuales favorecen un universo con
Las mediciones actuales favorecen un universo con
Para a=0.75 el Universo tenía igual contribución energética de la materia y la constante cosmológica. Esto corresponde a z=0.33. Antes de esto la materia dominaba sobre Λ.
Para a=1/3600 (z~3600) la componente de radiación era igual a la componente de materia. A redshifts mayores se habla de la era de radiación porque esta era la componente dominante. Esta era fue seguida por una era de la materia, y hoy día vivimos en la era de la constante cosmológica.
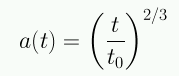
Un universo plano sólo con materia se denomina Einstein-de Sitter. La ecuación de Friedmann para w=0 se reduce a:
La solución para este caso es:
 
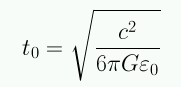
La constante de Hubble:
Notar que la edad del Universo es menor que el tiempo de Hubble.
Redshift:
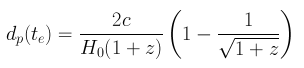
Distancia propia al momento de la recepcion:
La distancia al horizonte al momento de la recepcion:
En un universo plano dominado por la materia la distancia actual al horizonte es finita, o sea, un observador puede ver solo una parte del volumen infinito del universo. Podemos imaginar el horizonte como una esfera centrada en el observador correspondiente a fotones que vienen viajando desde t=0, a=0, z=∞. La esfera visible consiste en todos los puntos del espacio que han tenido suficiente tiempo para enviar informacion y estar en contacto causal con el observador. Todos los puntos mas alla del horizonte no son visibles y nada fuera del Universo visible tiene influencia sobre el observador. Notar que la distancia actual al horizonte es mayor que la distancia de Hubble, es decir, dentro del universo visible podemos ver objetos alejandose mas rapido que la velocidad de la luz.
Trayectoria de un foton desde el horizonte hacia el observador (Problema 55):
Distancia propia al momento de la emision:
En un universo Einstein-de Sitter la distancia propia al momento de la emision alcanza un maximo a z=5/4 con un valor de 8/27 de la distancia de Hubble. Objetos a redshifts mayores tienen distancias propias menores al momento de la emision.
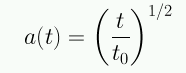
Este es un caso especial del modelo plano. Este es un buen modelo para las épocas tempranas del Universo en donde dominaba la radiación. La ecuación de Friedmann para w=1/3 es:
La solución para este caso (ω=1/3) es:
Evolución de la densidad de energía y la temperatura:
En un universo plano dominado por radiación (ω=1/3), un observador sólo puede ver una parte del Universo. Nada fuera del Universo visible tiene influencia sobre el observador.
Ahora consideremos un universo plano con ω=-1. La ecuación de Friedmann toma la forma:
El Universo se expande exponencialmente y es infinitamente viejo. El redshift permite calcular el instante de la emisión:
y también permite calcular la distancia propia a la fuente:
La distancia propia varía linealmente con z (lo cual no era cierto para los otros modelos).
En un universo plano con ω=-1 el horizonte es infinito y todo el Universo está en contacto causal con el observador.