Lectura Sugerida:
Boesgaard & Steigman, 1985, ARAA, 23, 319
Hogan, C. 1996, astro-ph/9609138
La energía media de los fotones era:
El Universo temprano tiene energías comparables a aquellas alcanzadas en los aceleradores de partículas. A épocas más tempranas mayores son las energías de los fotones. En este capítulo estudiaremos el Universo cuando la energía de los fotones era suficientemente alta (∼MeV) como para permitir las reacciones nucleares, lo que conoce como nucleosíntesis del Big Bang o nucleosíntesis primordial.
Los constituyentes fundamentales de la materia son los fermiones (partículas de spin semi-entero). Entre los fermiones existen dos familias de partículas llamadas quarks y leptones. Cada una de estas dos clases está dividida en tres generaciones y cada generación contiene 2 partículas, con lo cual podemos distinguir 12 fermiones. Las interacciones entre estas partículas se realizan a través de partículas mediadoras llamadas bosones (partículas de spin entero; e.g. el fotón).
| Generación I | Generación II | Generación III | Mediadores | |
| Quarks | up (u) | charm (c) | top (t) | fotón (γ) |
| down (d) | strange (s) | bottom (b) | gluón (g) | |
| Leptones | neutrino electrón (νe) | neutrino mu (νμ) | neutrino tau (ντ) | bosón Z (Z) |
| electrón (e) | muón(μ) | tauón(τ) | bosón (W) | |
Entre los leptones se encuentra el electrón, el muón, el tauón y tres tipos de neutrinos. El electrón es estable mientras que el muón y el tauón son inestables y mas difíciles de detectar. Los quarks libres no se observan sino que dentro de partículas llamadas hadrones. Entre los hadrones se incluyen los bariones que están constituídos por combinaciones de 3 quarks. Entre los bariones se encuentran los neutrones y protones. Cada uno de los fermiones tiene un correspondiente anti-fermión (eg. positrón, anti-quark, anti-neutrino).
Un núcleo atómico contiene Z protones y N neutrones. El número total de nucleones es el número de masa que se designa como A=Z+N. El número de protones Z de un núcleo determina el elemento atómico (H tiene Z=1, He tiene Z=2, Li tiene Z=3,...). Un elemento atómico puede tener distinto número de neutrones con lo cual un elemento atómico puede tener varios isótopos. Para distinguir los isótopos de un elemento atómico se especifica con prefijo superior el número de masa A. Por ejemplo 1H corrresponde al átomo de H con Z=1, N=0. El Hidrógeno pesado con Z=1,N=1 se simboliza como 2H. Este isótopo es más conocido como Deuterio y tiene el símbolo D. El Helio con Z=2,N=2 se simboliza como 4He.
La energía de ligazón B es la energía requerida para separar un núcleo en sus protones y neutrones, o la energía liberada cuando un núcleo se forma a partir de protones y neutrones individuales. La energía de ligazón de un átomo de 4He (partícula α) es 28.3 MeV lo que corresponde a una diferencia de masa de 0.03 unidades atómicas o 5.0×10-29 kg.
La energía de ligazón por nucleón B/A en este caso es de 28.3/4=7.07 MeV. Para el caso del Deuterio la energía de ligazón es de 2.22 MeV con lo cual B/A=1.11 MeV. Mientras mayor sea B/A más energía se requiere por nucleón para romper el núcleo. Los núcleos más estables son aquellos con mayor B/A. Esta curva muestra la energía B/A para distintas especies atómicas.
En algún momento del Universo temprano los protones y neutrones deben haberse fusionado para formar Deuterio. Esto debe haber ocurrido cuando la energía de los fotones ya había caído bajo la energía de ligazón del Deuterio de 2.2 MeV. Veremos que la síntesis de Deuterio ocurrió aproximadamente a una temperatura de 8×108 K correspondiente a t≈200 s. Luego de la síntesis del Deuterio debe haber ocurrido la síntesis de Helio para proseguir con la producción de elementos más pesados por la vía de la fusión. Desde un punto de vista energético el Universo temprano debiera haber alcanzado una composición de puro 56Fe. Sin embargo, el Universo está compuesto principalmente por H (76%) y He (24%). A continuación veremos porqué el Universo no pudo lograr una nucleosíntesis completa (puro 56Fe).
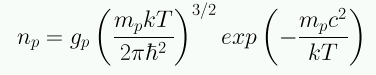
Los neutrones y protones constituyen la materia prima para la formación de núcleos atómicos. En esta sección determinaremos las abundancias relativas de estas partículas en el momento de la nucleosíntesis. Para esto consideremos el Universo a una edad de t=0.1 s, lo que corresponde a una temperatura de T=3×1010 K y a una energía media por fotón de 10 MeV. En esa época los neutrones y los protones estaban en equilibrio gracias a las reacciones:
A temperaturas kT >> Qn (T >> 1.5×1010 K y t << 1 s), la diferencia de masa entre el neutron y el proton se hace despreciable y el numero de neutrones y protones es igual (nn∼np). A medida que la temperatura disminuye los protones resultan muy favorecidos ya que estos poseen menos energia que los neutrones.
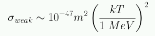
Si el equilibrio perdurara en el tiempo a T=109 K habría 1 neutrón por cada millón de protones. Sin embargo, estas partículas no permanecen en equilibrio por tanto tiempo. Las reacciones que mantienen el equilibrio entre neutrones y protones involucran la interacción de bariones con neutrinos a través de fuerzas nucleares débiles. La sección eficaz para interacciones débiles depende de la temperatura:
Mientras tanto, el parámetro de Hubble decae como H(t)∼t-1. Cuando Γ=H los neutrinos se desacoplan de los bariones y alrededor de la misma época los neutrinos cesan de interactuar con los electrones. Esto se traduce en el desacoplamiento de los neutrinos del resto del Universo, luego de lo cual la razón de neutrones a protones queda congelada. Como consecuencia de este desacoplamiento se espera que el Universo contenga una fondo cósmico de neutrinos (CNB). En teoría la temperatura actual del CNB debiera ser de 1.95 K y la densidad de energía actual debiera ser un 68% de la densidad de energía del CMB. Esta diferencia de temperatura entre el CMB y el CNB se debe a que, justo luego del desacoplamiento de los neutrinos, a una energía de kT∼ 0.5 Mev, los electrones y positrones se aniquilaron creando nuevos fotones.
Usando los mejores datos disponibles para σweak, la temperatura de congelamiento (freezout temperature) resulta ser Tfreez=9×109 K (kTfreez=0.8 MeV). El Universo alcanza esta temperatura a t∼1 s. Podemos calcular la abundancia relativa de protones y neutrones en el instante del congelamiento:
En este momento hay un neutrón por cada 5 protones. A continuación veremos que la escasez relativa de neutrones explica en parte porqué el Universo no pudo lograr la nucleosíntesis completa (puro 56Fe) y dejó 75% de los protones sin fusionarse.
Cuando dos protones se fusionan para formar Deuterio se debe liberar un neutrino:
Como esta reacción involucra la interacción nuclear débil, cuya sección eficaz es tan pequeña, la tasa de reacción es baja. La fusión de dos protones se dificulta además por la repulsión eléctrica.
La fusión neutrón-neutrón:
La fusión de neutrones y protones, en cambio, es mediada por las fuerzas nucleares fuertes y no involucra la interacción nuclear débil:
Como la sección eficaz para interacciones por fuerzas nucleares fuertes es mucho mayor que aquellas por fuerzas nucleares débiles, la fusión de un protón y un neutrón es mucho más probable que la fusión de dos protones o de dos neutrones.
Durante la nucleosíntesis del Big Bang todos los neutrones estarán disponibles para fusionarse con los protones para producir núcleos atómicos. Los protones restantes, en cambio, no podrán fusionarse debido a 1) la baja tasa de fusión p+p y 2) la rápida disminución de la densidad de los protones y de la temperatura. La escasez de los neutrones y la expansión explican porqué el Universo dejó 75% de los protones en forma de Hidrógeno.
A continuación veremos que la nucleosíntesis del Big Bang es una carrera contra el tiempo y porqué el Universo no pudo lograr la nucleosíntesis completa.
A la edad de t=1 s se produce el congelamiento de los protones y neutrones, en cuyo momento la razón de neutrones a protones toma el valor nn/np=0.2. La nucleosíntesis comienza paso a paso fabricando núcleos cada vez más pesados. El primer paso es la fusión de un protón y un neutrón para formar Deuterio:
La energía liberada corresponde a la energía de ligazón del Deuterio:
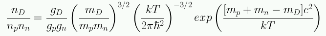
Un fotón con energía > BD puede fotodisociar un núcleo de D. En esta época la radiación y la materia se encuentran acopladas por lo cual podemos usar la ecuación de Maxwell-Boltzmann para calcular la fracción de núcleos de D:
Podemos sustituir los pesos estadísticos gD=3, gp=gn=2, la energía de ligazón del Deuterio [mp+mn-mD]c2 = BD, y las masas de las partículas involucradas mp=mn=mD/2, con lo cual:
Esta ecuación se simplifica tomando en cuenta que el número de protones no cambia mucho durante la nucleosíntesis. Por ejemplo, antes de la nucleosíntesis había 5 protones por cada 6 bariones (83%) y hoy día 75% de los bariones están en forma de protones libres (Hidrógeno). Por lo tanto podemos aproximar np∼0.8nbar.
Acá se usa el factor η, la razón del número de bariones al número de fotones que es independiente del tiempo y cuyo valor es de 5.5×10-10, y también usamos la expresión para la densidad de fotones de un cuerpo negro de temperatura T (capítulo 8; sec. I). Combinando estas últimas dos ecuaciones obtenemos una expresión simple para la razón nD/nn:
Esta función se puede ver en la siguiente figura:
A temperaturas altas los fotones tienen suficiente energía para disociar los núcleos de Deuterio lo cual favorece a los neutrones y protones libres. A medida que la temperatura baja los núcleos de D se ven altamente favorecidos ya que van desapareciendo los fotones capaces de disociar a los núcleos de Deuterio.
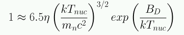
Podemos definir la temperatura Tnuc a la cual ocurre la nucleosíntesis de Deuterio como aquella a la cual nD/nn=1 (i.e. cuando la mitad de los neutrones se ha fusionado):
Tnuc se indica en rojo en el gráfico. Insertando las constantes físicas se obtiene Tnuc=7.6×108 K, o bien kTnuc=0.066 MeV. Esto ocurre para t~200 s.
La razón D/n no puede permanecer indefinidamente en el valor de equilibrio ya que los núcleos de D pasan a fusionarse para formar núcleos más complejos. Por ejemplo, un núcleo de D se puede fusionar con un protón y producir 3He:
Los núcleos de Tritio son inestables y decaen en 3He con una vida media de 18 años. El Deuterio también se puede fusionar con otros núcleos de Deuterio y producir 4He:
Los núcleos de 4He están fuertemente ligados por lo que la fusión de estos núcleos es poco probable
. Sólo se forman pequeñas cantidades de 6Li y 7Li a través de las reacciones:
1) una vez que se comienza a formar Deuterio, la nucleosíntesis procede rápidamente para producir 4He.
2) La gran estabilidad del 4He con respecto al 8Be impide mayor grado de nucleosíntesis y sólo se producen pequeñas cantidades de núcleos más pesados. La nucleosíntesis primordial queda muy incompleta.
Podemos estimar la máxima abundancia de He primordial asumiendo que todos los neutrones que quedaron disponibles luego del freezout se usaron para la síntesis de 4He. Definiendo f≡nn/np, se puede demostrar que:
en que Y≡m(4He)/mbar. Usando el valor f=0.2 en el momento del congelamiento, se obtiene Ymax=0.3. El valor observado es 0.24.
Un mejor modelo resulta al considerar que los neutrones libres son inestables y decaen con una vida media de 890 s para producir protones. Desde el instante del congelamiento en t=1 s hasta el instante de la nucleosíntesis de D en t= 200 s, una fracción de los neutrones ya ha decaído. En t~200 s la razón f=nn/np ha caído a:
Usando este valor de f=0.15 obtenemos Ymax=26% que resulta más cercano a las mediciones de abundancias primordiales de 4He. Un mejor ajuste a las observaciones se logra considerando que no todos los neutrones terminan formando 4He y que algunos terminan formando otras especies atómicas como D, Li, ...
Si la vida media del neutrón fuese 89 s en vez de 890 s f=0.018, con lo cual se obtendría Ymax=0.035.
Si la diferencia de masa en reposo entre el neutrón y el protón fuese 0.129 MeV en vez de 1.29 MeV la abundancia relativa de protones y neutrones en el instante del congelamiento hubiese sido nn/np=0.85. En el instante de la nucleosíntesis de D tendríamos f=0.58, con lo cual Ymax=0.73.
La cantidad precisa de isótopos producidos en el Big Bang se puede calcular usando complejos códigos numéricos (Boesgaard & Steigman, 1985, ARAA, 23, 319). La figura de la izquierda muestra la fracción de masa de distintos isótopos en función de la temperatura y la figura de la derecha muestra las mismas abundancias en función del tiempo :
Inicialmente (T >> 109 K) casi toda la materia estaba en forma de neutrones y protones libres. Eventualmente la abundancia de D comienza a subir pero prontamente los núcleos de D se fusionan para formar 3H, 3He y 4He. El D alcanza un máximo cerca de 109 K y luego decrece. Cuando la temperatura ha caído a 4×108 K (t~10 min) la nucleosíntesis ha cesado. El resultado de la nucleosíntesis primordial es:
Las abundancias resultantes de la nucleosíntesis dependen de la razón η≡nbar/nγ. Un aumento de η implica una mayor densidad de bariones, lo cual hace que las tasas de las reacciones sean más altas y que la nucleosíntesis comience antes. Como la nucleosíntesis es una carrera contra el tiempo (debido a la expansión) un comienzo más temprano de las reacciones nucleares lleva a mayor producción de 4He, a expensas de D y 3He. Esto se puede apreciar en este gráfico. La dependencia de la abundancia de 7Li con η muestra un comportamiento más complicado.
Si logramos medir la abundancia primordial de estos elementos podemos restringir observacionalmente el valor de η. La abundancia de 4He no es muy restrictiva porque su dependencia con η es muy suave.
En cambio, la abundancia de D es muy sensible al parámetro η. Una dificultad con la medición de las abundancias de D es que estos núcleos se destruyen fácilmente al interior de las estrellas. De hecho este proceso nuclear es uno de los primeros que ocurre durante la formación estelar, por lo cual la abundancia de D disminuye con el tiempo. Si observamos una nube de gas intergaláctico sin estrellas cercanas podemos esperar que el D refleje la abundancia primordial. Para realizar esta medición se usan cuasares cuya luz atraviesa el medio intergaláctico. Este medio absorbe la luz del cuasar produciendo un espectro de asborción (denominado Lyman-α forest):
Los átomos de H producen una fuerte absorción en λ=1215.7 Å correspondiente a la transición Lyman-α (entre los estados n=1 y n=2). El D también produce esta absorción pero con un leve desplazamiento a λ=1215.4 Å debido a su mayor masa nuclear. Un espectro de cuasar muestra una fuerte absorción en 1215.7 Å causada por la alta abundancia de H, y una pequeña absorción en 1215.4 Å debido al D (ver figura anterior). Usando observaciones de muchas nubes se obtiene una abundancia media de D/H=(3.0±0.4)×10-5, lo cual se traduce en XD=(4.0±0.5)×10-5. Usando observaciones adicionales de abundancias primordiales de He y Li se deduce un valor de η=(5.5±0.5)×10-10.
Este valor de η se puede convertir a la densidad actual de bariones:
Esta densidad se puede convertir a una densidad de energía:
con lo cual obtenemos un valor para el parámetro de densidad actual de bariones:
En el capítulo 7 vimos que esta densidad es 10× mayor que la densidad estelar de lo cual se deduce que la mayoría de los bariones son muy poco luminosos (enanas cafés, enanas blancas, estrellas de neutrones, agujeros negros) o muy difusos (gas caliente intracúmulo).
En el capítulo 7 también usamos el teorema del Virial para inferir que el parámetro de densidad de la materia del Universo es Ωm,0∼0.2. Como la nucleosíntesis arroja un valor de Ωbar,0∼0.04, debemos concluir que la mayoría de la materia del Universo es no bariónica.
Los protones y neutrones estan hechos de 3 quarks. Cuando el Universo tenía una temperatura de kT~150 MeV los quarks aún no estaban confinados como lo estan hoy día, y formaban un "sopa de quarks". En los primeros microsegundos del Universo los quarks eran creados por pares a partir de fotones y aniquilados constantemente para producir fotones:
En esta época el número de fotones, quarks y antiquarks eran muy parecidos. Supongamos que existía una pequeña asimetría entre quarks y antiquarks: