Lectura Obligatoria: Barbara Ryden (Capítulo 3; Capítulo 7 Sec 7.2 y Sec 7.3)
Lectura Sugerida:
Capítulo 2: Dinámica Cósmica: Newton versus Einstein
Queremos tener un modelo físico para describir la expansión cósmica. A grandes escalas las fuerzas electromagnéticas
son despreciables por lo que la gravedad es la fuerza que domina la evolución del Universo a gran escala.
El marco teórico sobre el cual podemos construir modelos de Universo es la Relatividad General
formulada en 1916 por Einstein
(1879-1955; biografía de Einstein)
Enstein: la gravedad es una manifestación de la curvatura del espacio-tiempo
Newton: la gravedad en una fuerza y el espacio-tiempo es absoluto y Euclidiano
I. El Principio de Equivalencia
La RG esta fundada sobre el Principio de Equivalencia, el cual establece que
un campo gravitacional uniforme es equivalente a un sistema con aceleración
uniforme en ausencia de gravedad.
Consecuencias del PE:
La luz se curva en presencia de la gravedad (a pesar de que los fotones no tienen masa!!!) (confirmado
por Eddington durante el eclipse solar de 1919)
Como la luz se mueve en línea recta, entonces la curvatura se debe a que el espacio se curva y
deja de ser Euclidiano en presencia de gravedad
En RG masa y energía son equivalentes, por lo que la presencia de masa-energía en general causa
la curvatura del espacio
La gravedad afecta todo lo que posea energía
Confirmaciones observacionales de la la deflexión de la luz:
Galaxias distorsionadas por cúmulo Abell 2218
Múltiples imágenes de un cuasar debido a lente gravitacional
II. Descripción de curvatura
En RG necesitamos poder describir matemáticamente la curvatura del espacio-tiempo. Para esto usamos el concepto
de métrica.
Métrica para un espacio 2D plano (Euclidiano) en coordenas cartesianas:
ds2 = dx2 + dy2 (Teorema de Pitágoras)
Métrica para un espacio 2D plano en coordenas polares (ρ,φ):
Métrica isotrópica esférica, plana o hiperbólica en 2D:
ds2 = dρ2 + Sk2(ρ) dφ2 (coordenadas polares)
Sk = R sin(ρ/R) (curvatura positiva)
Sk = ρ (curvatura cero)
Sk = R sinh(ρ/R) (curvatura negativa)
También se puede escribir:
ds2 = dx2/[1-kx2/R2] + x2 dφ2 [x=Sk(ρ);φ]
en que el parámetro de curvatura k puede ser:
k = +1 (curvatura positiva)
k = 0 (curvatura cero)
k = -1 (curvatura negativa)
Resumen de propiedades geométricas de espacios de 2D
CURVATURA
NEGATIVA
CERO
POSITIVA
ISOTROPICO
SI
SI
SI
PARAMETRO DE CURVATURA
-1
0
+1
SUMA DE ANGULOS DE TRIANGULO
‹180
180
›180
AREA
∞
∞
4πR2
MAXIMA SEPARACION
∞
∞
πR
NOMBRE
ABIERTO
PLANO
CERRADO
Métrica isotrópica en 3D:
Notar que en 2D xdφ es el elemento de distancia perpendicular a la dirección radial ρ. Esta métrica
se puede generalizar a 3D cambiando xdφ por xdΩ
(dΩ2 = dθ2 + sin2θ dφ2).
ds2 = dρ2 + Sk2(ρ) dΩ2 (coordenadas esféricas)
ds2 = dx2/[1-kx2/R2] + x2 dΩ2
Resumen de propiedades geométricas de espacios de 3D
CURVATURA
NEGATIVA
CERO
POSITIVA
ISOTROPICO
SI
SI
SI
PARAMETRO DE CURVATURA
-1
0
+1
SUMA DE ANGULOS DE TRIANGULO
‹180
180
›180
VOLUMEN
∞
∞
2πR3/3
MAXIMA SEPARACION
∞
∞
FINITA
NOMBRE
ABIERTO
PLANO
CERRADO
III. La métrica de Robertson y Walker
Métrica plana en espacio-tiempo (métrica de Minkowski)
ds2 = -c2dt2 + dρ2 + ρ2dΩ2
En el espacio-tiempo el desplazamiento de los fotones está dado por ds2 = 0, i.e, dρ/dt=±c
En RG los efectos de la gravedad se traducen en cambios en las propiedades del espacio-tiempo.
El matemático y físico norte-americano Howard Robertson (1903-1961;
ver biografía)
y el matemático inglés Arthur Walker (1909-2001;
ver biografía)
demostraron independientemente (~1930) que la métrica más general que satisface
los principios de isotropía y homogeneidad es:
a(t): factor de escala sin dimensión
a(t0) = 1
t: tiempo cósmico
(ρ, θ, φ) coordenadas comóviles (constantes en el tiempo)
(x, θ, φ) coordenadas comóviles (constantes en el tiempo)
k: constante de curvatura (+1,0,-1)
R0: radio de curvatura (km) en este instante t0
Conociendo a(t), k, y R0 sabemos toda la geometría
Modelo 2D de Universo isotrópico y homogéneo en expansión
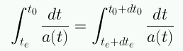
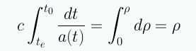
IV. Distancia Propia y ley de Hubble en métrica R-W
Entre el observador y una galaxia, dθ = dφ = 0, por lo que
ds2 = -c2dt2 + a(t)2 dρ2
La distancia propia es aquella medida al mismo tiempo -> dt=0
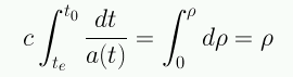
La distancia propia a un objeto con coordenada móvil ρ en el instante actual es:
Usando la ecuación que satisfacen los fotones:
con lo cual la distancia propia en términos del factor de escala es:
En un intervalo de tiempo dt la luz se desplaza una distancia propia cdt/a(t) de modo
que la integral anterior corresponde a la distancia propia total recorrida por la luz
entre el instante de emisión y la recepción. La distancia propia depende entonces de
la historia de la expasión cósmica a través de a(t). Para el caso de un universo estático
a=constante=1, por lo cual,
La distancia propia contiene informacion sobre el tiempo en que la luz salió
de la fuente. Al mirar más lejos estamos mirando más atrás en el tiempo. Los
telescopios son máquinas del tiempo.
A partir de la distancia propia podemos calcular una velocidad:
con lo cual recuperamos la ley de Hubble
La constante de Hubble corresponde a:
En general:
La constante de Hubble mide la tasa de expansión del Universo en el instante t y cambia en el tiempo.
Notar que se puede definir la distancia de Hubble:
para la cual una galaxia se mueve a la velocidad de la luz.
Para H0=70 la distancia de Hubble es 4300 Mpc. Las galaxias a distancias
mayores se mueven a v > c!!! La velocidad se debe a la expansión del espacio
y no al movimiento relativo de dos objetos en un espacio estático!
V. El horizonte cosmológico
El objeto más lejano que podemos observar (en teoría) es aquel cuya luz fue emitida en te=0
y que nos está llegando en t0. La distancia propia de ese objeto se denomina
horizonte y se expresa:
El horizonte es una superficie esférica centrada en el observador, más allá de la cual no podemos ver
porque la luz no ha tenido el tiempo de llegar al observador. El horizonte divide el universo visible
del universo invisible.
Como la luz emitida desde el horizonte fue emitida a te=0, el
factor de escala a(te=0)=0, por lo cual z(te=0)=∞. Es decir, el
horizonte se encuentra a z=∞.
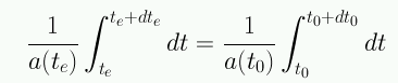
VI. El redshift cosmológico
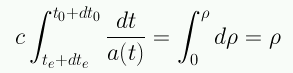
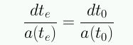
Los fotones entre el observador y una galaxia se mueven a lo largo de trayectorias con dθ = dφ = 0 y ds2=0
Para un fotón emitido en te y recibido en t0:
Para un fotón emitido en te+dte y recibido en t0+dt0:
por lo cual,
Restando:
Obtenemos:
Se ha hecho uso de que a(t) con cambia durante los intervalos dte y dt0. De este modo:
Esta relación se conoce como la dilatación del tiempo.
Este efecto ha sido medido experimentalmente a partir de curvas de luz de supernovas.
En azul se muestran supernovas a z~0 y en rojo supernovas a z~0.5
Para las ondas de luz, el período de la onda también se dilata.
Considerando el período de la onda emitida Δt0 = λ0/c y
el de la onda recibida Δte = λe/c
Esta cantidad está relacionada con una cantidad observada:
con lo cual
Jamás z + 1 !!!
El redshift coresponde al aumento del factor de escala entre la emisión y la recepción.
El redshift es independiente de la historia de a(t). Sólo mide el cambio en a(t):
El redshift se debe al estiramiento de las ondas causado por la expansión
del espacio y NO al efecto Doppler entre fuente y observador en un espacio estático.
Pregunta: Suponga que dos galaxias lejanas mantuvieron una distancia constante por un tiempo (etapa 1),
luego se alejaron por un período (etapa 2) y luego han mantenido la distancia constante (etapa 3).
Considere fotones emitidos por una de las galaxias en la etapa 1 y recibidos por la otra
galaxia en la etapa 3. Cual es el redshift medido por el observador que recibe los fotones
si el aumento de la distancia se debe a la expansión del espacio? Cual es el redshift si el
alejamiento se debió al aumento de la distancia en un espacio estático?
El redshift hace que el espectro no sólo se desplace al rojo sino que se estire.
Espectro de un cuasar en reposo y otro corrido al rojo
Un objeto con redshift z=∞ se encuentra en el horizonte debido a que la luz del objeto
fue emitida a te=0, cuando el factor de escala a(te=0)=0, por lo cual
z(te=0)=∞.
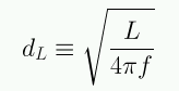
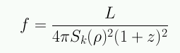
VII. Distancia Lumínica
Desafortunadamente la distancia propia a un objeto no es una cantidad medible. Sería necesario
medir con una huincha que se extendiera a velocidad infinita o tendríamos que detener la expansión
del Universo. Un método habitual en mediciones de distancias astronómicas es el del patrón
lumínico (standard candle), el cual consiste en medir el flujo f de un objeto de luminosidad
conocida L. Usando la ley del inverso del cuadrado podemos definir la
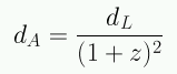
distancia lumínica mediante:
La cantidad dL es una "distancia" y sería la distancia propia a la fuente si el
Universo fuese estático y euclidiano. Necesitamos derivar la relación entre distancia
propia y distancia lumínica. Para derivar una expresión para la distancia lumínica hay que
pensar en término de fotones emitidos por la fuente (en el origen de coordenadas), los cuales
se dispersan sobre una esfera de radio propio dp(t0)=ρ (ρ
es la coordenada comóvil del observador). Para calcular el área de la esfera recordemos
la métrica de Robertson-Walker:
ds2 = -c2dt2 + a(t)2[dρ2 + Sk2(ρ)dΩ2]
Sk = R sin(ρ/R) (k=+1)
Sk = ρ (k=0)
Sk = R sinh(ρ/R) (k=-1)
El área propia de la esfera centrada en la fuente y radio propio ρ al momento de la recepción de los fotones es:
Para k=0 se recupera la expresión habitual de la métrica euclidiana (4πρ2). El área propia será
menor que 4πρ2 cuando k=1, y mayor que 4πρ2 cuando k=-1.
Aparte de estos efectos geométricos, la expansión del universo hace que cada fotón disminuya su energía en
un factor (1+z):
La expansión también causa la dilatación del tiempo:
por lo cual los fotones emitidos en un intervalo δte llegan en un intervalo mayor δt0.
Es decir la tasa de recepción de fotones (el flujo medido) disminuye en un factor (1+z) con respecto a un
universo estático. El resultado es que en un universo curvo en expansión el flujo medido es:
Comparando con la definición de distancia lumínica dada anteriormente, obtenemos:
en que la aproximación Sk≈ρ es válida cuando R >> ρ. En la aproximación
de un universo plano la relación con la distancia propia es:
Vemos que si usamos un patrón lumínico y la ley del inverso al cuadrado, obtendremos una
sobre estimación por un factor (1+z) de la distancia propia.
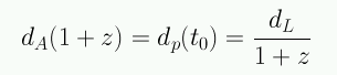
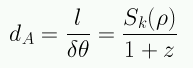
VIII. Distancia de Diámetro Angular
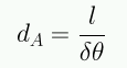
Otro metodo empírico para determinar distancias cosmológicas consiste en medir
el tamaño angular de un objeto cuyo tamaño físico sea conocido. Si el largo propio
de esta regla es l, el objeto está alineado perpendicularmente a la línea de visión y
subtiende un ángulo δθ, podríamos calcular la
distancia de diámetro angular:
La cantidad dA sería la distancia propia a la regla si el Universo
fuese estático y euclidiano. Para el caso general de un universo curvo necesitamos
usar la métrica de Robertson-Walker para derivar la relación entre distancia
y coordenada comóvil ρ. Para esto supongamos que las coordenadas de los
extremos de la regla son (ρ,θ1,&phi) y (ρ,θ2,&phi).
A medida que la luz se mueve hacia el obervador, los fotones se desplazan a lo
largo de geodésicas con θ=constante y φ=constante. El tamaño angular
de la regla será δθ=θ2-θ1. La distancia
ds entre los dos extremos, medida en el instante de la emisión te se
obtiene de la métrica:
Para el caso de una regla de largo l, tenemos l=ds, por lo cual
De este modo, la distancia de diámetro angular resulta:
Comparando con la definición de distancia lumínica, se obtiene:
Para el caso de un universo plano (k=0), obtenemos una relación
simple con la distancia propia:
La distancia de diámetro angular es menor por un factor (1+z) que
la distancia propia al objeto. La distancia de diámetro angular aumenta
con el redshift, alcanza un máximo cerca de z~1.6, y luego decrece
con el redshift. Eso implica que si el cielo estuviese lleno de reglas
cósmicas del mismo largo, sus tamaños angulares dismimuirían hasta
z~1.6 y luego aumentarían a redshifts mayores. El cielo estaría
lleno de reglas grandes pero débiles.
En la práctica resulta difícil identificar reglas cósmicas con tamaño
conocido. Las galaxias no sólo no tienen bordes bien definidos, sino
que tienden a aumentar de tamaño a medida que se mezclan con galaxias
vecinas. Los cúmulos de galaxias también tienden a crecer con el
tiempo por lo cual el método del de diámetro angular está plagado
de incertezas.