Hasta antes de 1998 se pensaba que el Universo no tenía constante cosmológica y que la mayoría de la energía era aportada por la materia no relativista, por lo cual esta solución es de interés histórico. Ecuación de Friedmann:
La ecuación de Friedmann muestra que, para un universo en expansión, existirá un tiempo para el cual H(t)=0.
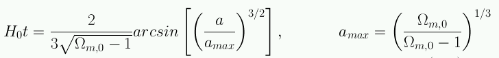
En ese instante amax= Ω0 / (Ω0 - 1), la expansión se detendrá,
y luego vendrá una etapa de contracción durante la cual las galaxias mostraran blueshifts. La contracción
terminará con a=0. Esto es lo que se llama BIG CRUNCH.
La solución a la ecuación de Friedmann se obtiene de forma paramétrica
La ecuación de Friedmann muestra que, para un universo en expansión, la expansión continuará por siempre. Para épocas tempranas a(t)∝t2/3, mientras que para épocas tardías a(t)∝t. La solución a la ecuación de Friedmann se obtiene de forma paramétrica
Este era el modelo estándar en la década de 1990. La ecuación de Friedmann muestra que cuando a → ∞, H(t) → 0. La expansión se detiene en un tiempo infinito. La solución a la ecuación de Friedmann es a(t)∝t2/3.
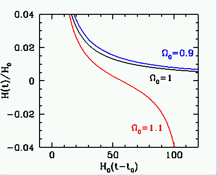
Para modelos sólo con materia, la densidad de la materia determina tanto la geometría del universo como su destino.
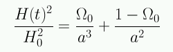
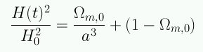
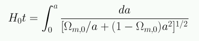
Este es un caso que nos interesa ya que es una buena aproximación al universo en que vivimos. El requisito de geometría plana se traduce en Ωm,0 + ΩΛ,0 = 1. En este caso la ecuación de Friedmann se reduce a:
La ecuación de Friedmann muestra que, para un universo en expansión, existirá un tiempo para el cual H(t)=0, en el cual la expansión se detendrá. La evolución del factor de escala está dada por:
El Universo se expandirá hasta amax, luego de lo cual vendrá una etapa de contracción hasta un Big Crunch en un tiempo:
Notar que estamos en el caso de un universo plano e infinito; sin embargo la expansión no es eterna como en el caso de un universo sólo con materia.
La ecuación de Friedmann muestra que, para un universo en expansión, la constante de Hubble es siempre positiva y la expansión será eterna. La evolución del factor de escala está dada por:
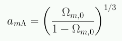
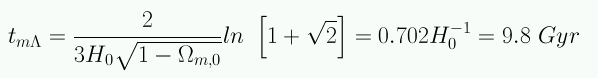
La época en que la materia y la constante cosmológica tienen igual densidad es:
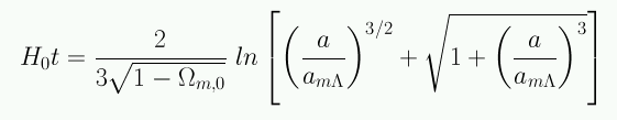
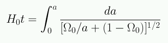
En este caso la ecuación de Friedmann toma la forma:
Los posible tipos de soluciones se pueden ver en el plano (Ωm,0,ΩΛ,0):
La línea roja corresponde a modelos planos (Ωm,0 + ΩΛ,0 = 1). Sobre esta diagonal hay modelos cerrados (k=1) y bajo esta diagonal hay modelos abiertos (k=-1). El destino de la expansión dependerá de los valores individuales de Ωm,0 y ΩΛ,0. Podemos distinguir cuatro tipos de modelos:
Notar que:
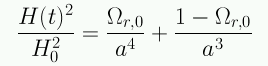
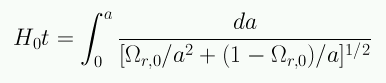
Este es un caso que nos interesa porque es una buena aproximación al Universo para épocas tempranas (cuando a ≈ 3×10-4 o antes). El requisito de la geometría plana se traduce en Ωr,0 + Ωm,0 = 1. En este caso la ecuación de Friedmann se reduce a:
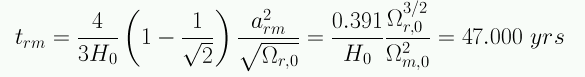
La época en que la materia y la radiación tienen igual densidad es:
Este gráfico muestra en rojo a(t) para a << arm, en azul a(t) para a >> arm, y en negro a(t) para todo tiempo.
Este es el mejor modelo para el Universo en que vivimos. Los parámetros del modelo son:
| PARAMETRO | VALOR |
|---|---|
| Fotones | Ωγ,0=5.0 × 10-5 |
| Neutrinos | Ων,0=3.4 × 10-5 |
| Total Radiación | Ωr,0=8.4 × 10-5 |
| Masa bariónica | Ωbar,0=0.04 |
| Masa no bariónica | Ωdm,0=0.26 |
| Total Materia | Ωm,0=0.30 |
| Constante Cosmológica | ΩΛ,0=0.70 |
| Constante de Hubble | H0=70 |
Las parámetros de las transiciones son:
| FACTOR DE ESCALA | TIEMPO COSMICO | |
| radiación-materia | ar m=2.8 × 10-4 | tr m=4.7 × 104 yr |
| materia-Λ | amΛ=0.75 | tmΛ=9.8 Gyr |
| ahora | a0=1 | t0=13.5 Gyr |
El factor de escala se calcula numéricamente a partir de la ecuación de Friedmann, a partir del cual se calcula la constante de Hubble y el parámetro de desaceleración (q):
A partir de a(t) podemos calcular la distancia propia a un objeto de redshift z:
A partir de a(t) podemos calcular el look-back time, es decir el tiempo desde que la luz ha estado viajando desde que fue emitida (t0-te):
Por ejemplo, un objeto a z=6 emitió la luz a te=0.9 Gyr y t0-te=12.6 Gyr. Los telescopios son máquinas del tiempo!